Skip to main content
Skip to main navigation menu
Skip to site footer
Open Menu
Current
Archives
Announcements
About
About the Journal
Submissions
Editorial Team
Privacy Statement
Contact
Search
Register
Login
Home
/
Vol.2 No.1(2025):Green Design Engineering
Vol.2 No.1(2025):Green Design Engineering
10 Items
All Items
A Gamified Dashboard for Sustainable Healthy Food: Design of Group Behavior Incentives and Social Collaboration
Meiqin Cai, Gaowei Liu
12-19
A Methodology for Identifying the Green Design of Healthy Diets: An Empirical Analysis Based on a Multidimensional Assessment Framework
Xiaoqiong Liu
1-11
A Practice-Based Study on Deformable Matter Design Based on Four-Dimensional Composition: A Spatio-Temporal Coupling Perspective on Intelligent Interactive System Development
Chufen Shao, Huisheng Cheng
26-36
An Ecological Sensitivity Design Framework: Optimizing Resident Behavior and Balancing Resources in Crowded Tourism Environments
Gengkun Deng, Zhihao Zeng
51-56
Behavior-Driven Intelligent Healthy Food Dashboard: Design Optimization and Behavioral Intervention Model Development
Jialin Wang, Yaoqiang Deng
82-89
Behavioral Closed-Loop Design in Digital Ecosystems: Cross-Platform Environmental Information Integration and Collaborative Path Optimization
Xinlin Chen, Xianhao Ye, Zhengsheng Luo
63-70
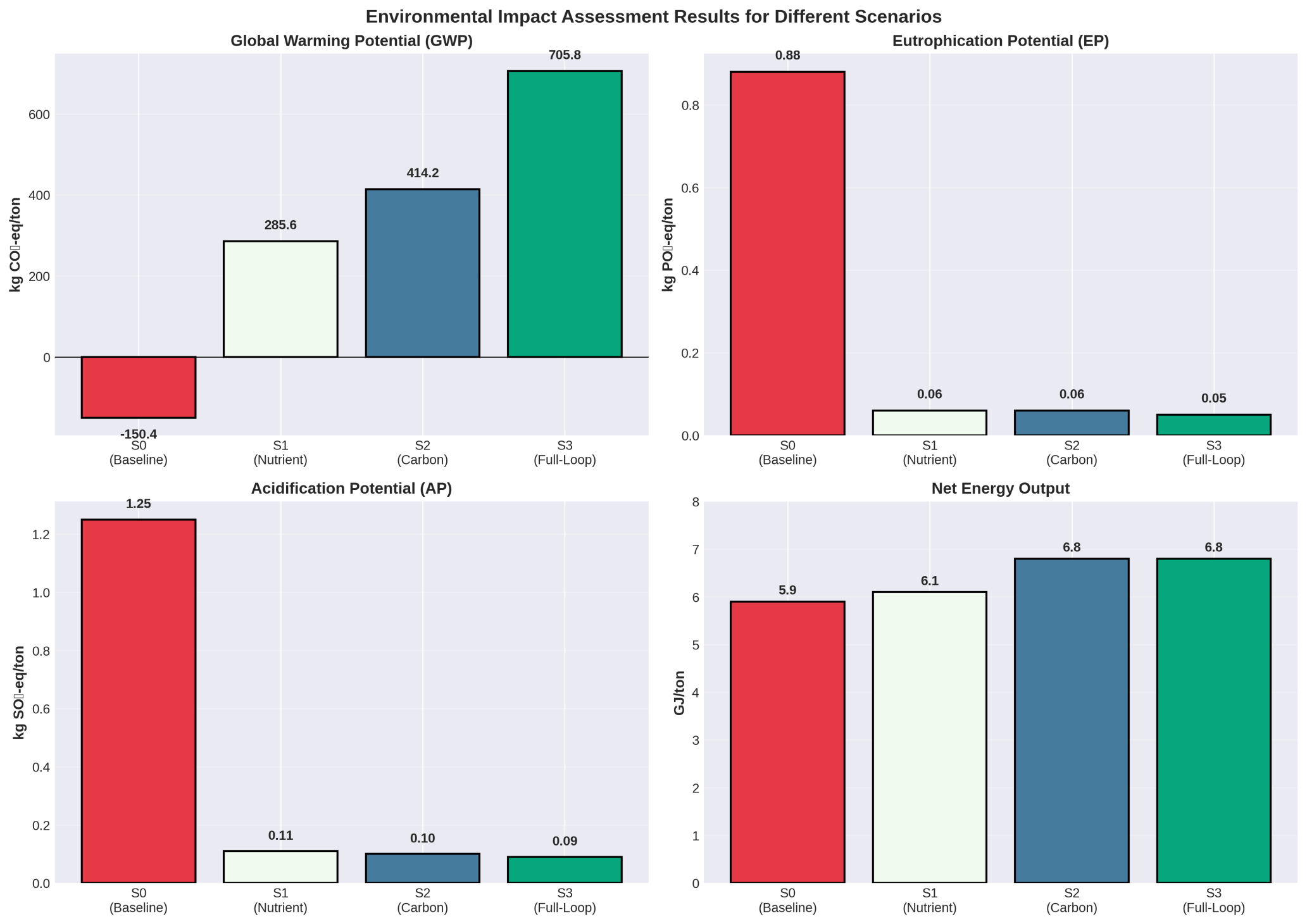
Closed-Loop Design of Bioenergy Supply Chain: A Pathway to Efficient Resource Utilization from a Circular Economy Perspective
Tingjun Wang, Sa Qiao, Shaokang Lin
37-50
Multimodal Enhancement Strategies in Environmental Information Design: Behavioral Optimization Pathways to Enhance User Perception and Decision-Making Efficiency
Guanfeng Li, Jingwen Wang
57-62
Resource Optimization and Function Maximization Design in Frugal Innovation:Practical Paths for Marginalized Environments
JieMa Wei, Jiasheng Mao, Xilan Su
71-81
Synergistic Optimization of Urban Transport Systems: A Data-Driven Framework for Design-Policy Bidirectional Empowerment
Zhiyuan Shi
20-25
Make a Submission
Make a Submission
Current Issue
Language
English
简体中文
Information
For Readers
For Authors
For Librarians
Browse
Categories
Vol.1 No.1(2024):Green Design Engineering
Vol.2 No.1(2025):Green Design Engineering
Vol.2 No.2(2025):Green Design Engineering
Vol.2 No.3(2025):Green Design Engineering
Vol.2 No.4(2025):Green Design Engineering
Vol.3 No.1(2026):Green Design Engineering
Vol.3 No.2(2026):Green Design Engineering
Developed By
Open Journal Systems